Phường Tây Hồ: Thông báo công khai danh sách các đơn vị chậm đóng BHXH, BHYT

14:30 21/10/2025

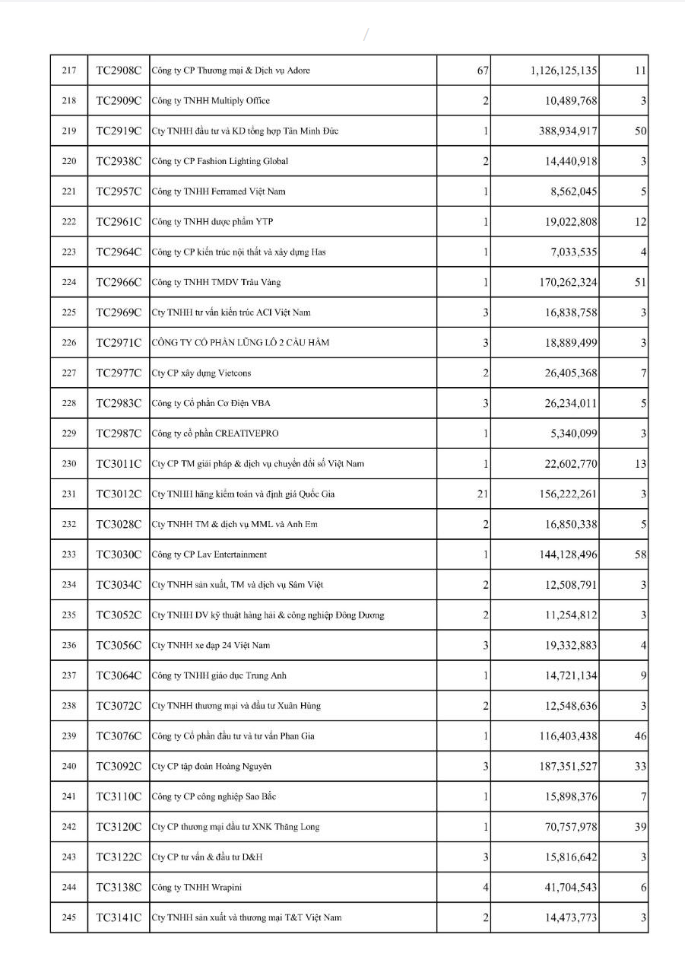
Ngày 17/10/2025, Bảo hiểm xã hội (BHXH) Cơ sở Tây Hồ ban hành văn bản số 547/BHXH báo cáo về tình hình chậm đóng BHXH, BHYT, BHTN trên địa bàn phường.

Theo đó, tính đến hết tháng 9/2025, trên địa bàn phường có 483 đơn vị chậm đóng BHXH, BHYT từ 03 tháng trở lên, ảnh hưởng đến quyền lợi của 1.682 người lao động với tổng số tiền nợ đọng là 37,4 tỷ đồng.

BHXH Cơ sở Tây Hồ đã và đang thực hiện các biện pháp đôn đốc, gửi văn bản và sẽ đề xuất kiểm tra đột xuất đối với các đơn vị cố tình chây ỳ.

Nhằm đảm bảo quyền lợi hợp pháp cho người lao động và đề nghị các đơn vị có tên trong danh sách công bố khẩn trương thực hiện nghĩa vụ, UBND phường Tây Hồ thông báo công khai danh sách các đơn vị chậm đóng BHXH, BHYT cụ thể như sau:

Screenshot 2025-10-21 204623.png

Phường Tây Hồ: Thông báo công khai danh sách các đơn vị chậm đóng BHXH, BHYT- Ảnh 2.

Phường Tây Hồ: Thông báo công khai danh sách các đơn vị chậm đóng BHXH, BHYT- Ảnh 3.

Phường Tây Hồ: Thông báo công khai danh sách các đơn vị chậm đóng BHXH, BHYT- Ảnh 4.

Phường Tây Hồ: Thông báo công khai danh sách các đơn vị chậm đóng BHXH, BHYT- Ảnh 5.

Phường Tây Hồ: Thông báo công khai danh sách các đơn vị chậm đóng BHXH, BHYT- Ảnh 6.

Phường Tây Hồ: Thông báo công khai danh sách các đơn vị chậm đóng BHXH, BHYT- Ảnh 7.

Phường Tây Hồ: Thông báo công khai danh sách các đơn vị chậm đóng BHXH, BHYT- Ảnh 8.

Phường Tây Hồ: Thông báo công khai danh sách các đơn vị chậm đóng BHXH, BHYT- Ảnh 9.

Phường Tây Hồ: Thông báo công khai danh sách các đơn vị chậm đóng BHXH, BHYT- Ảnh 10.

Phường Tây Hồ: Thông báo công khai danh sách các đơn vị chậm đóng BHXH, BHYT- Ảnh 11.

Phường Tây Hồ: Thông báo công khai danh sách các đơn vị chậm đóng BHXH, BHYT- Ảnh 12.

Phường Tây Hồ: Thông báo công khai danh sách các đơn vị chậm đóng BHXH, BHYT- Ảnh 13.

Phường Tây Hồ: Thông báo công khai danh sách các đơn vị chậm đóng BHXH, BHYT- Ảnh 14.

Phường Tây Hồ: Thông báo công khai danh sách các đơn vị chậm đóng BHXH, BHYT- Ảnh 15.

Phường Tây Hồ: Thông báo công khai danh sách các đơn vị chậm đóng BHXH, BHYT- Ảnh 16.

Phường Tây Hồ: Thông báo công khai danh sách các đơn vị chậm đóng BHXH, BHYT- Ảnh 17.

Phường Tây Hồ: Thông báo công khai danh sách các đơn vị chậm đóng BHXH, BHYT- Ảnh 18.

 Trung tâm VHTT&TT

image advertisement
image advertisement
image advertisement
image advertisementimage advertisement
Tin đọc nhiều

Tây Hồ: Khai mạc lớp bồi dưỡng Báo cáo viên tháng 10/2025

14:48 23/10/2025

Ngày 23/10/2025, Trung tâm Chính trị phường Tây Hồ phối hợp với Ban xây dựng Đảng các phường Tây Hồ, Phú Thượng, Hồng Hà tổ chức khai mạc lớp bồi dưỡng báo cáo viên tháng 10/2025 với chuyên đề: “Kết quả thực hiện mô hình Chính quyền địa phương 2 cấp sau 3 tháng hoạt động”;“Tình hình thời sự trong nước và quốc tế thời gian gần đây”.

Tập huấn kỹ năng và phương pháp tổ chức hoạt động thu hút thanh thiếu nhi trong giai đoạn hiện nay cho cán bộ đoàn phường Tây Hồ, Phú Thượng, Hồng Hà năm 2025

21:31 22/10/2025

Nhằm nâng cao năng lực, kỹ năng tổ chức và phương pháp thu hút thanh thiếu nhi tham gia các hoạt động phát triển cộng đồng, ngày 22/10/2025, Trung tâm Chính trị khu vực Tây Hồ phối hợp với Đoàn thanh niên các phường Tây Hồ, Phú Thượng, Hồng Hà tổ chức lớp bồi dưỡng nghiệp vụ công tác đoàn thanh niên.

Chính thức thêm 6 thủ tục hành chính người dân Hà Nội có thể làm ngay tại nhà, không cần xếp hàng hay chờ đợi

17:00 22/10/2025

Từ ngày 20/10, Trung tâm phục vụ hành chính công thành phố Hà Nội chính thức tiếp nhận 100% hồ sơ theo hình thức trực tuyến đối với thủ tục hành chính thuộc lĩnh vực quản lý lao động nước ngoài làm việc tại Việt Nam thuộc phạm vi chức năng quản lý nhà nước của Sở Nội vụ.

Toạ đàm: Để hiện thực những mục tiêu xây dựng Thủ đô Hà Nội hiện đại, văn minh, hạnh phúc và phát triển bứt phá trong kỷ nguyên mới

15:00 22/10/2025

Sáng 22/10, Báo Kinh tế & Đô thị phối hợp với Đảng uỷ- HĐND - UBND - Uỷ ban MTTQ phường Tây Hồ cùng Trung tâm Truyền thông, Dữ liệu và Công nghệ số TP Hà Nội tổ chức Tọa đàm “Để hiện thực những mục tiêu xây dựng Thủ đô Hà Nội hiện đại, văn minh, hạnh phúc và phát triển bứt phá trong kỷ nguyên mới” tại Hội trường UBND phường Tây Hồ, TP Hà Nội.

Tin cùng chuyên mục
Xem theo ngày
Xem
Tây Hồ: Khai mạc lớp bồi dưỡng Báo cáo viên tháng 10/2025
Tây Hồ: Khai mạc lớp bồi dưỡng Báo cáo viên tháng 10/2025
Ngày 23/10/2025, Trung tâm Chính trị phường Tây Hồ phối hợp với Ban xây dựng Đảng các phường Tây Hồ, Phú Thượng, Hồng Hà tổ chức khai mạc lớp bồi dưỡng báo cáo viên tháng 10/2025 với chuyên đề: “Kết quả thực hiện mô hình Chính quyền địa phương 2 cấp sau 3 tháng hoạt động”;“Tình hình thời sự trong nước và quốc tế thời gian gần đây”.
14:48 23/10/2025
Toạ đàm: Để hiện thực những mục tiêu xây dựng Thủ đô Hà Nội hiện đại, văn minh, hạnh phúc và phát triển bứt phá trong kỷ nguyên mới
Toạ đàm: Để hiện thực những mục tiêu xây dựng Thủ đô Hà Nội hiện đại, văn minh, hạnh phúc và phát triển bứt phá trong kỷ nguyên mới
Sáng 22/10, Báo Kinh tế & Đô thị phối hợp với Đảng uỷ- HĐND - UBND - Uỷ ban MTTQ phường Tây Hồ cùng Trung tâm Truyền thông, Dữ liệu và Công nghệ số TP Hà Nội tổ chức Tọa đàm “Để hiện thực những mục tiêu xây dựng Thủ đô Hà Nội hiện đại, văn minh, hạnh phúc và phát triển bứt phá trong kỷ nguyên mới” tại Hội trường UBND phường Tây Hồ, TP Hà Nội.
15:00 22/10/2025
Phường Tây Hồ trao Quyết định bổ nhiệm và nghỉ hưu đối với cán bộ lãnh đạo và viên chức quản lý
Phường Tây Hồ trao Quyết định bổ nhiệm và nghỉ hưu đối với cán bộ lãnh đạo và viên chức quản lý
Ngày 21/10/2025, UBND phường Tây Hồ đã tổ chức Hội nghị công bố Quyết định bổ nhiệm đối với cán bộ lãnh đạo và Quyết định nghỉ hưu của viên chức quản lý.
22:29 21/10/2025
Tích hợp cẩm nang giải đáp pháp luật trên VNeID
Tích hợp cẩm nang giải đáp pháp luật trên VNeID
Nội dung Cổng Pháp luật quốc gia sẽ được tích hợp trên ứng dụng VNeID và bổ sung Cẩm nang giải đáp thực thi pháp luật phục vụ chính quyền địa phương hai cấp.
20:50 21/10/2025
Phó thủ tướng: Cơ sở dữ liệu đất đai phải 'đúng, đủ, sạch và sống'
Phó thủ tướng: Cơ sở dữ liệu đất đai phải 'đúng, đủ, sạch và sống'
Phó thủ tướng nói việc xây dựng cơ sở dữ liệu đất đai phải thu thập "đúng, đủ, sạch, sống", gồm thông tin về thửa đất, người quản lý, mục đích và tình trạng sử dụng.
16:00 18/10/2025
Phường Tây Hồ: Đưa công nghiệp văn hóa thành ngành kinh tế chủ lực
Phường Tây Hồ: Đưa công nghiệp văn hóa thành ngành kinh tế chủ lực
Dự thảo Báo cáo chính trị trình Đại hội XVIII Đảng bộ thành phố Hà Nội nhấn mạnh: Phát triển công nghiệp văn hóa thành ngành kinh tế chủ lực gắn với phát triển du lịch, định vị sản phẩm đặc sắc trên các lĩnh vực thế mạnh của Thủ đô.
18:10 17/10/2025
Tin khác
Tập huấn kỹ năng và phương pháp tổ chức hoạt động thu hút thanh thiếu nhi trong giai đoạn hiện nay cho cán bộ đoàn phường Tây Hồ, Phú Thượng, Hồng Hà năm 2025
Tập huấn kỹ năng và phương pháp tổ chức hoạt động thu hút thanh thiếu nhi trong giai đoạn hiện nay cho cán bộ đoàn phường Tây Hồ, Phú Thượng, Hồng Hà năm 2025
Nhằm nâng cao năng lực, kỹ năng tổ chức và phương pháp thu hút thanh thiếu nhi tham gia các hoạt động phát triển cộng đồng, ngày 22/10/2025, Trung tâm Chính trị khu vực Tây Hồ phối hợp với Đoàn thanh niên các phường Tây Hồ, Phú Thượng, Hồng Hà tổ chức lớp bồi dưỡng nghiệp vụ công tác đoàn thanh niên.
21:31 22/10/2025
Chính thức thêm 6 thủ tục hành chính người dân Hà Nội có thể làm ngay tại nhà, không cần xếp hàng hay chờ đợi
Chính thức thêm 6 thủ tục hành chính người dân Hà Nội có thể làm ngay tại nhà, không cần xếp hàng hay chờ đợi
Từ ngày 20/10, Trung tâm phục vụ hành chính công thành phố Hà Nội chính thức tiếp nhận 100% hồ sơ theo hình thức trực tuyến đối với thủ tục hành chính thuộc lĩnh vực quản lý lao động nước ngoài làm việc tại Việt Nam thuộc phạm vi chức năng quản lý nhà nước của Sở Nội vụ.
17:00 22/10/2025
Công an phường Tây Hồ: Chung tay ngăn chặn bạo lực học đường
Công an phường Tây Hồ: Chung tay ngăn chặn bạo lực học đường
Thời gian gần đây, liên tiếp xảy ra nhiều vụ việc bạo lực học đường gây bức xúc trong dư luận, để lại những hệ lụy đau lòng và là hồi chuông cảnh báo về sự xuống cấp trong văn hóa ứng xử học đường.
09:50 22/10/2025
Dấu ấn phụ nữ Việt Nam trong phát triển kinh tế-xã hội
Dấu ấn phụ nữ Việt Nam trong phát triển kinh tế-xã hội
Trong công cuộc xây dựng và bảo vệ Tổ quốc ngày nay, phụ nữ Việt Nam đang ngày càng phát triển về mọi mặt, khẳng định được vai trò, vị thế và có những đóng góp to lớn trên nhiều lĩnh vực. Cụ thể, phụ nữ là lực lượng lao động to lớn, là động lực quan trọng của tăng trưởng, phát triển đất nước.
19:30 21/10/2025
3 thay đổi lớn về bảo hiểm thất nghiệp từ 1/1/2026
3 thay đổi lớn về bảo hiểm thất nghiệp từ 1/1/2026
Từ 01/01/2026, khi Luật Việc làm sửa đổi chính thức có hiệu lực, chính sách bảo hiểm thất nghiệp (BHTN) sẽ có những thay đổi quan trọng, tác động trực tiếp đến quyền lợi của hàng triệu người lao động.
19:00 21/10/2025
Công an phường Tây Hồ triển khai nhiều biện pháp đảm bảo an ninh trật tự địa bàn
Công an phường Tây Hồ triển khai nhiều biện pháp đảm bảo an ninh trật tự địa bàn
Với tinh thần chủ động phòng ngừa tội phạm, đảm bảo an ninh trật tự địa bàn, Công an phường Tây Hồ, Hà Nội thường xuyên triển khai đồng bộ các biện pháp nghiệp vụ, tăng cường tuần tra kiểm soát khép kín địa bàn vào ban đêm, kịp thời phát hiện, ngăn chặn các hành vi vi phạm pháp luật...
15:00 21/10/2025
Sổ đỏ sắp được tích hợp trên ứng dụng VNeID
Sổ đỏ sắp được tích hợp trên ứng dụng VNeID
Người dân sẽ tự cung cấp thông tin và kiểm tra, xác thực thông tin chủ sử dụng đất ở, nhà ở qua tiện ích trên ứng dụng VNeID mà không nhất thiết phải cung cấp bản sao giấy chứng nhận.
14:00 21/10/2025
UBND phường Tây Hồ tổ chức thành công giải bóng đá phường mở rộng
UBND phường Tây Hồ tổ chức thành công giải bóng đá phường mở rộng
Ngày 19/10/2025, UBND phường Tây Hồ đã tổ chức thành công Giải bóng đá phường Tây Hồ mở rộng, nằm trong khuôn khổ chương trình thi đấu tại Đại hội Thể dục Thể thao (TDTT) phường Tây Hồ lần thứ I – năm 2025. Giải đấu không chỉ là sân chơi rèn luyện sức khỏe mà còn là dịp tăng cường tình đoàn kết, giao lưu giữa các đơn vị trên địa bàn và lân cận.
15:00 19/10/2025
Chuyển đổi số - động lực bứt phá xây dựng Thủ đô hiện đại
Chuyển đổi số - động lực bứt phá xây dựng Thủ đô hiện đại
Hà Nội đã và đang triển khai mạnh mẽ chuyển đổi số và xây dựng chính quyền điện tử, từng bước hiện thực hóa mục tiêu xây dựng chính quyền số, xã hội số, công dân số.
18:00 18/10/2025
Phường Tây Hồ ra quân bắt chó thả rông, không rọ mõm
Phường Tây Hồ ra quân bắt chó thả rông, không rọ mõm
Sáng ngày 18/10/2025, UBND phường Tây Hồ đã tổ chức đợt ra quân kiểm tra và xử lý nghiêm các trường hợp chó thả rông, không rọ mõm trên địa bàn. Hoạt động nhằm lập lại trật tự an toàn công cộng, phòng chống dịch bệnh và nâng cao ý thức chấp hành pháp luật của người dân.
11:00 18/10/2025