Công khai các đơn vị chậm đóng BHXH, BHYT, BHTN trên địa bàn phường Tây Hồ (tháng 03/2026)

17:00 14/04/2026

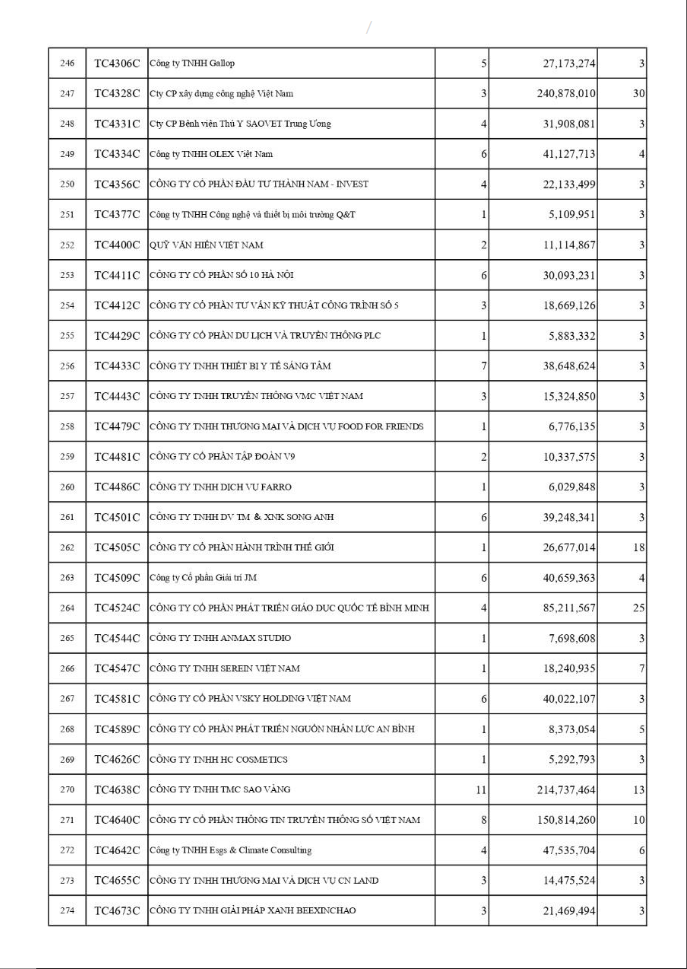
Bảo hiểm xã hội cơ sở Tây Hồ báo cáo tình hình chậm đóng Bảo hiểm xã hội, Bảo hiểm y tế, Bảo hiểm thất nghiệp trên địa bàn phường đến hết tháng 03 năm 2026, làm cơ sở để các cơ quan, đơn vị phối hợp xử lý, đảm bảo quyền lợi cho người lao động.

Công khai các đơn vị chậm đóng BHXH, BHYT, BHTN trên địa bàn phường Tây Hồ (tháng 03/2026)- Ảnh 1.


Công khai các đơn vị chậm đóng BHXH, BHYT, BHTN trên địa bàn phường Tây Hồ (tháng 03/2026)- Ảnh 2.

Công khai các đơn vị chậm đóng BHXH, BHYT, BHTN trên địa bàn phường Tây Hồ (tháng 03/2026)- Ảnh 3.

Công khai các đơn vị chậm đóng BHXH, BHYT, BHTN trên địa bàn phường Tây Hồ (tháng 03/2026)- Ảnh 4.

Công khai các đơn vị chậm đóng BHXH, BHYT, BHTN trên địa bàn phường Tây Hồ (tháng 03/2026)- Ảnh 5.

Công khai các đơn vị chậm đóng BHXH, BHYT, BHTN trên địa bàn phường Tây Hồ (tháng 03/2026)- Ảnh 6.

Công khai các đơn vị chậm đóng BHXH, BHYT, BHTN trên địa bàn phường Tây Hồ (tháng 03/2026)- Ảnh 7.

Công khai các đơn vị chậm đóng BHXH, BHYT, BHTN trên địa bàn phường Tây Hồ (tháng 03/2026)- Ảnh 8.

Công khai các đơn vị chậm đóng BHXH, BHYT, BHTN trên địa bàn phường Tây Hồ (tháng 03/2026)- Ảnh 9.

Công khai các đơn vị chậm đóng BHXH, BHYT, BHTN trên địa bàn phường Tây Hồ (tháng 03/2026)- Ảnh 10.

Công khai các đơn vị chậm đóng BHXH, BHYT, BHTN trên địa bàn phường Tây Hồ (tháng 03/2026)- Ảnh 11.

Công khai các đơn vị chậm đóng BHXH, BHYT, BHTN trên địa bàn phường Tây Hồ (tháng 03/2026)- Ảnh 12.

Công khai các đơn vị chậm đóng BHXH, BHYT, BHTN trên địa bàn phường Tây Hồ (tháng 03/2026)- Ảnh 13.

Công khai các đơn vị chậm đóng BHXH, BHYT, BHTN trên địa bàn phường Tây Hồ (tháng 03/2026)- Ảnh 14.

 Trung tâm VHTT&TT Tây Hồ

image advertisement
image advertisement
image advertisement
image advertisementimage advertisement
Tin đọc nhiều

Hướng dẫn người dân cách lựa chọn và bảo quản thực phẩm động vật an toàn, đảm bảo sức khỏe.

4 giờ trước

Nhằm tăng cường công tác đảm bảo an toàn vệ sinh thực phẩm trên địa bàn, UBND phường Tây Hồ cung cấp các kiến thức cơ bản giúp người dân nhận biết thịt gia súc, gia cầm tươi ngon và cách phòng tránh các loại thực phẩm không an toàn, thực phẩm nhiễm ký sinh trùng trong bữa ăn hàng ngày.

Cả nước sắp đón ‘mưa giải nhiệt’ kết thúc đợt nắng nóng hiếm gặp trong 10 năm

17:45 14/04/2026

Cơ quan khí tượng nhận định, từ 16/4, nắng nóng chấm dứt trên hầu khắp cả nước, mưa rào và dông xuất hiện, nguy cơ đi kèm lốc, sét, mưa đá và gió giật mạnh.

Hướng dẫn chi tiết các bước tự xác thực SIM chính chủ trên VNeID từ ngày 15/4

17:30 14/04/2026

Người dùng di động có thể tự xác thực thuê bao chính chủ qua VNeID, theo quy định mới có hiệu lực từ ngày 15/4.

KỶ NIỆM 80 NĂM NGÀY TRUYỀN THỐNG LỰC LƯỢNG THAM MƯU CÔNG AN NHÂN DÂN (18-4-1946/18-4-2026): Những trang sử hào hùng của lực lượng Tham mưu Công an Thủ đô Anh hùng

17:15 14/04/2026

Trải qua 80 năm hình thành, xây dựng, chiến đấu và trưởng thành, dưới lá cờ vẻ vang của Đảng, dưới ánh sáng soi đường của Chủ nghĩa Mác - Lênin, Tư tưởng Hồ Chí Minh, lấy Sáu điều Bác Hồ dạy Công an nhân dân làm kim chỉ nam rèn luyện đạo đức người công an Cách mạng, dù trong bất cứ hoàn cảnh khó khăn nào, lực lượng Tham mưu Công an nhân dân nói chung và Công an Thủ đô nói riêng luôn giữ vững phẩm chất chính trị cách mạng, tuyệt đối trung thành với Tổ quốc, hoàn thành xuất sắc mọi nhiệm vụ mà Đảng, Nhà nước và nhân dân giao phó; xứng đáng là “bộ óc thứ hai”, là “cánh tay nối dài” của các cấp lãnh đạo, chỉ huy Công an.

Tin cùng chuyên mục
Xem theo ngày
Xem
Cả nước sắp đón ‘mưa giải nhiệt’ kết thúc đợt nắng nóng hiếm gặp trong 10 năm
Cả nước sắp đón ‘mưa giải nhiệt’ kết thúc đợt nắng nóng hiếm gặp trong 10 năm
Cơ quan khí tượng nhận định, từ 16/4, nắng nóng chấm dứt trên hầu khắp cả nước, mưa rào và dông xuất hiện, nguy cơ đi kèm lốc, sét, mưa đá và gió giật mạnh.
17:45 14/04/2026
Phường Tây Hồ: Liên hoan tiếng hát dân ca Người cao tuổi – Tiếng hát “tuổi vàng” khơi dậy tinh thần sống đẹp.
Phường Tây Hồ: Liên hoan tiếng hát dân ca Người cao tuổi – Tiếng hát “tuổi vàng” khơi dậy tinh thần sống đẹp.
Trong không khí thi đua sôi nổi chào mừng thành công của cuộc bầu cử đại biểu Quốc hội và Hội đồng nhân dân các cấp nhiệm kỳ 2026–2031, phường Tây Hồ sẽ tổ chức “Liên hoan Tiếng hát dân ca Người cao tuổi năm 2026” vào ngày 19/4/2026.
17:30 13/04/2026
Thông báo về việc phân luồng, điều tiết giao thông phục vụ Giải chạy Tay Ho Half Marathon 2026 – Legend Race
Thông báo về việc phân luồng, điều tiết giao thông phục vụ Giải chạy Tay Ho Half Marathon 2026 – Legend Race
Nhằm đảm bảo an toàn và hỗ trợ tốt nhất cho Giải chạy Tay Ho Half Marathon 2026 – Legend Race diễn ra vào ngày 12/04/2026, Trung tâm VHTT&TT Tây Hồ xin thông báo kế hoạch phân luồng và điều tiết giao thông cụ thể trên các tuyến đường thuộc địa bàn phường như sau:
15:00 09/04/2026
Thực hiện nghiêm quy định nuôi chó, mèo để phòng, chống bệnh dại
Thực hiện nghiêm quy định nuôi chó, mèo để phòng, chống bệnh dại
Bệnh dại là bệnh truyền nhiễm nguy hiểm lây từ động vật sang người. Khi đã phát bệnh, tỷ lệ tử vong gần như 100%. Tuy nhiên, bệnh hoàn toàn có thể phòng ngừa hiệu quả nếu thực hiện tiêm vắc xin đầy đủ cho chó, mèo và quản lý vật nuôi chặt chẽ.
17:00 06/04/2026
Phường Tây Hồ triển khai đồng bộ công tác thống kê, quản lý và tiêm phòng vắc xin bệnh Dại cho đàn chó, mèo năm 2026
Phường Tây Hồ triển khai đồng bộ công tác thống kê, quản lý và tiêm phòng vắc xin bệnh Dại cho đàn chó, mèo năm 2026
Thực hiện các kế hoạch của UBND thành phố Hà Nội và UBND phường Tây Hồ về công tác phòng, chống dịch bệnh động vật năm 2026, UBND phường Tây Hồ đã ban hành và triển khai đồng bộ kế hoạch tiêm phòng vắc xin bệnh Dại cho đàn chó, mèo trên địa bàn, gắn với công tác thống kê, quản lý vật nuôi nhằm kiểm soát hiệu quả dịch bệnh, bảo vệ sức khỏe cộng đồng.
16:30 04/04/2026
Hướng dẫn học sinh thử nghiệm đăng ký trực tuyến dự thi và tuyển sinh vào lớp 10 trung học phổ thông công lập năm học 2026-2027
Hướng dẫn học sinh thử nghiệm đăng ký trực tuyến dự thi và tuyển sinh vào lớp 10 trung học phổ thông công lập năm học 2026-2027
Nhằm giúp các em học sinh và cha mẹ học sinh đăng ký trực tuyến dự thi và tuyển sinh vào lớp 10 THPT công lập năm học 2026-2027 được thuận lợi, nhanh chóng và chính xác. Từ ngày 04/4 đến ngày 06/4/2026, Sở Giáo dục và Đào tạo Hà Nội thử nghiệm hệ thống đăng ký trực tuyến cho các học sinh, cha mẹ học sinh làm quen với các thao tác trên hệ thống đăng ký và kiểm tra, rà soát thông tin cá nhân của học sinh trước khi chính thức đăng ký dự thi và tuyển sinh vào lớp 10 THPT công lập năm học 2026-2027.
19:00 03/04/2026
Tin khác
Hướng dẫn người dân cách lựa chọn và bảo quản thực phẩm động vật an toàn, đảm bảo sức khỏe.
Hướng dẫn người dân cách lựa chọn và bảo quản thực phẩm động vật an toàn, đảm bảo sức khỏe.
Nhằm tăng cường công tác đảm bảo an toàn vệ sinh thực phẩm trên địa bàn, UBND phường Tây Hồ cung cấp các kiến thức cơ bản giúp người dân nhận biết thịt gia súc, gia cầm tươi ngon và cách phòng tránh các loại thực phẩm không an toàn, thực phẩm nhiễm ký sinh trùng trong bữa ăn hàng ngày.
4 giờ trước
Hướng dẫn chi tiết các bước tự xác thực SIM chính chủ trên VNeID từ ngày 15/4
Hướng dẫn chi tiết các bước tự xác thực SIM chính chủ trên VNeID từ ngày 15/4
Người dùng di động có thể tự xác thực thuê bao chính chủ qua VNeID, theo quy định mới có hiệu lực từ ngày 15/4.
17:30 14/04/2026
KỶ NIỆM 80 NĂM NGÀY TRUYỀN THỐNG LỰC LƯỢNG THAM MƯU CÔNG AN NHÂN DÂN (18-4-1946/18-4-2026): Những trang sử hào hùng của lực lượng Tham mưu Công an Thủ đô Anh hùng
KỶ NIỆM 80 NĂM NGÀY TRUYỀN THỐNG LỰC LƯỢNG THAM MƯU CÔNG AN NHÂN DÂN (18-4-1946/18-4-2026): Những trang sử hào hùng của lực lượng Tham mưu Công an Thủ đô Anh hùng
Trải qua 80 năm hình thành, xây dựng, chiến đấu và trưởng thành, dưới lá cờ vẻ vang của Đảng, dưới ánh sáng soi đường của Chủ nghĩa Mác - Lênin, Tư tưởng Hồ Chí Minh, lấy Sáu điều Bác Hồ dạy Công an nhân dân làm kim chỉ nam rèn luyện đạo đức người công an Cách mạng, dù trong bất cứ hoàn cảnh khó khăn nào, lực lượng Tham mưu Công an nhân dân nói chung và Công an Thủ đô nói riêng luôn giữ vững phẩm chất chính trị cách mạng, tuyệt đối trung thành với Tổ quốc, hoàn thành xuất sắc mọi nhiệm vụ mà Đảng, Nhà nước và nhân dân giao phó; xứng đáng là “bộ óc thứ hai”, là “cánh tay nối dài” của các cấp lãnh đạo, chỉ huy Công an.
17:15 14/04/2026
Ủy ban Mặt trận Tổ quốc Việt Nam phường Tây Hồ tổ chức hội nghị tuyên truyền, quán triệt các nội dung quan trọng
Ủy ban Mặt trận Tổ quốc Việt Nam phường Tây Hồ tổ chức hội nghị tuyên truyền, quán triệt các nội dung quan trọng
Nhằm nâng cao nhận thức chính trị, tư tưởng, tạo sự thống nhất trong cán bộ, đảng viên và các tầng lớp Nhân dân, sáng ngày 14/4/2026, Ủy ban Mặt trận Tổ quốc Việt Nam phường Tây Hồ đã tổ chức Hội nghị tuyên truyền, quán triệt các nội dung quan trọng: Văn kiện Đại hội XVIII Đảng bộ Thành phố; kết quả cuộc bầu cử đại biểu Quốc hội khóa XVI và đại biểu HĐND các cấp nhiệm kỳ 2026–2031; thành tựu phát triển đất nước giai đoạn 2021–2025; và kết quả Hội nghị lần thứ hai Ban Chấp hành Trung ương Đảng khóa XIV.
15:22 14/04/2026
Phường Tây Hồ tham dự Hội nghị trực tuyến sơ kết công tác phòng cháy, chữa cháy và cứu nạn, cứu hộ quý I năm 2026 của thành phố Hà Nội
Phường Tây Hồ tham dự Hội nghị trực tuyến sơ kết công tác phòng cháy, chữa cháy và cứu nạn, cứu hộ quý I năm 2026 của thành phố Hà Nội
Sáng ngày 14/4/2026, UBND phường Tây Hồ đã tham dự Hội nghị trực tuyến sơ kết công tác phòng cháy, chữa cháy và cứu nạn, cứu hộ (PCCC và CNCH) quý I năm 2026, triển khai phương hướng, nhiệm vụ trọng tâm quý II năm 2026 do Công an thành phố Hà Nội tổ chức.
15:00 14/04/2026
Phường Tây Hồ triển khai, hướng dẫn sử dụng ứng dụng HanoiWork
Phường Tây Hồ triển khai, hướng dẫn sử dụng ứng dụng HanoiWork
Nhằm đẩy mạnh ứng dụng công nghệ thông tin trong công tác quản lý, điều hành và nâng cao chất lượng thực thi nhiệm vụ, ngày 13/4/2026, UBND phường Tây Hồ đã tổ chức Hội nghị triển khai, hướng dẫn sử dụng ứng dụng HanoiWork tới cán bộ, công chức, viên chức, người lao động thuộc phường.
18:11 13/04/2026
Phường Tây Hồ: Dấu ấn hoạt động Hội LHPN quý I/2026 và những nhiệm vụ trọng tâm quý II
Phường Tây Hồ: Dấu ấn hoạt động Hội LHPN quý I/2026 và những nhiệm vụ trọng tâm quý II
Trong Quý I/2026, phong trào công tác Hội LHPN phường Tây Hồ đã diễn ra sôi nổi với nhiều hoạt động thiết thực.
17:00 13/04/2026
Phường Tây Hồ: Nghiêm túc quán triệt và triển khai thực hiện Nghị quyết Hội nghị lần thứ hai Ban Chấp hành Trung ương Đảng khóa XIV
Phường Tây Hồ: Nghiêm túc quán triệt và triển khai thực hiện Nghị quyết Hội nghị lần thứ hai Ban Chấp hành Trung ương Đảng khóa XIV
Sáng ngày 13/4/2026, Đảng bộ phường Tây Hồ đã tổ chức tiếp sóng trực tiếp Hội nghị toàn quốc nghiên cứu, học tập, quán triệt và triển khai thực hiện Nghị quyết Hội nghị lần thứ hai Ban Chấp hành Trung ương Đảng khóa XIV và các Chương trình hành động của Thành ủy Hà Nội
15:00 13/04/2026
Phát huy sức mạnh toàn dân, quyết tâm khắc phục triệt để 5 điểm nghẽn đô thị tại phường Tây Hồ
Phát huy sức mạnh toàn dân, quyết tâm khắc phục triệt để 5 điểm nghẽn đô thị tại phường Tây Hồ
Thực hiện Kế hoạch số 26-KH/ĐU của Đảng ủy phường Tây Hồ, toàn bộ hệ thống chính trị và các tầng lớp nhân dân trên địa bàn phường đang đồng lòng, quyết tâm triển khai các giải pháp nhằm khắc phục triệt để 05 điểm nghẽn lớn của Thành phố bao gồm: trật tự đô thị, ùn tắc giao thông, ô nhiễm môi trường, úng ngập và vệ sinh an toàn thực phẩm.
08:34 13/04/2026
Từ 18-5, chủ tịch UBND cấp xã được quyền tước, đình chỉ chứng chỉ hành nghề luật sư
Từ 18-5, chủ tịch UBND cấp xã được quyền tước, đình chỉ chứng chỉ hành nghề luật sư
Nghị định 109/2026 bổ sung thẩm quyền cho cấp xã trong lĩnh vực bổ trợ tư pháp, cho phép đình chỉ hoạt động có thời hạn, tước chứng chỉ hành nghề đối với luật sư vi phạm.
22:04 11/04/2026